Найдено результатов: 100
Second Conditional Example

Объяснение логики английского языка #3.2 The Second Conditional

English Conditionals | 0 1 2 3 | With Examples

IF Conditional - Zero, first, and second conditionals

Теория Conditional 1 vs Conditional 0

Conditional sentences | English Grammar for competitive tests | First/Second/Third condition

If Only (Second Conditional)

Управление портфелем и сделками в CorpBonds.Ru

Zero & First Conditionals

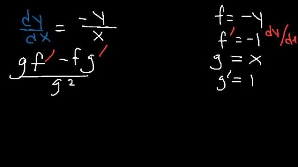
Implicit Differentiation Second Derivative Trig Functions & Examples- Calculus

B1_PLUS_U5_Zero, First, Second Conditional_GRAMMAR PRESENTATION
![Depeche Mode - Stripped [Novaspirit RmX]](https://pic.rtbcdn.ru/video/de/23/de239a31be3c662750802c8abdbf6f53.jpg?width=640)
Depeche Mode - Stripped [Novaspirit RmX]

GIRL PEE DESPERATION

If I were a millionaire ... (Second conditional) – A2 English Listening Test

Master the Second Conditional: English Grammar Quiz

Second Conditional – Grammar & Verb Tenses

GROW A GARDEN FUNK × 67 FUNK × STETAL A BRAINROT (смешаная версия ) :llya

Dilation Example

ℹ️ BAD HAPPENING FUNK (Ultra Slowed)

UNACCEPTABLE CONDITION!

First Conditional Sentences + Examples | English Grammar Lesson

FIRST CONDITIONALS, SECOND CONDITIONALS,THIRD CONDITIONALS - English Grammar | if Clause

Send Firebase Notification from Postman - Real Example

English grammar test: first conditional or second conditional; part 2

English grammar test: first conditional or second conditional; part 5