Найдено результатов: 100
Integrand

Нима Альхоршид - Мохаммед Маранди: Иран закрыл Ормузский пролив — Иран планирует потопить ВМС США

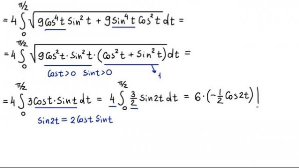
Астроида: найдем площадь и длину через определенный интеграл

Определенный интеграл. Площадь криволинейной трапеции. Свойства определенного интеграла

Ysmina _ Khayriddin Ясмина ва Хайрддин 2025

|Incredibox Sprunki (Wenda Treatment)|All Characters|

#2248 Номер 2248 Демидовича | Определённый интеграл

Kandagar.2010.PL.DVDRip.XviD-BiDA

MBAND концертное шоу "Без фильтров" Премьера! HD

Jumong afsonasi 2 -qizm (Uzbek tilida)

Адаптогены: как выжить в стрессе и стать выносливее. Все ответы от профессора Дадали

Муж трахает жену с другом на скрытую камеру

Будущее ДЕНЕГ и КРИПТЫ: ВСЁ, что вы хотели знать! Налоги, USDT, P2P и законы / Эра перемен

JUMONG 1 QISM UZBEK TILIDA / Жумонг узбек тилида 1 кисм

Слуги дьявола | Почему от Шварценеггера ушла жена | Откровения принцессы Дианы | Измены Бекхэма

Леонардо да Винчи / Самый известный художник / Личности / МИНАЕВ

Вся правда про мессенджер MАХ

Определенный интеграл. Что это такое?

Социальная пенсия инвалидам 2 группы в 2026 году

Smeshariki intro in does respond ×2

Интегралы 1.5 Метод непосредственного интегрирования Примеры (720p)

«Треугольник печали»: ироничный портрет современного общества в картинах Рубена Эстлунда

Киртан Шрилы Прабхупады - Ванде хам + медленный долгий киртан

ОБЗОР НА ВАСЯ ДИАГНОСТ ДЛЯ НОВИЧКОВ/ КАК ПРОДИАГНОСТИ?

ОЧЕРЕДНОЕ СПАСЕНИЕ ► Contraband Police #8
Что ищут еще по теме: