Найдено результатов: 100
Dockerfile Example

Игры Биста (2025) — 2 сезон 6 серия | Beast Games (Дубляж)

Ущелье | The Gorge (2025)

DOP 3 LEVEL MAKE A COCKTAIL

Декстер: Первородный грех (2024) — 1 сезон 2 серия | Dexter: Original Sin

Dockerfile and docker-compose.yml files

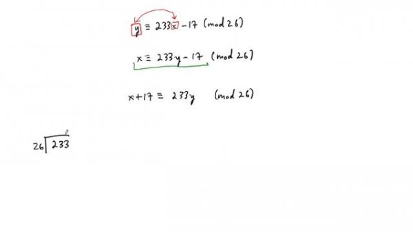
Example: Decrypting an Affine Cipher

Shift Line Termofuzz MkII | Guitar Sound Examples

Shift Line Termofuzz MkII | Bass Sound Examples

005 Build Docker Image from Dockerfile (27 - Dockering Spring Boot Application Step by Step)

Декстер: Воскрешение - 6 серия (2025) / Dexter: Resurrection

Docfetcher File Management Desktop Search

Игры Биста (2025) — 2 сезон 1 серия | Beast Games (Дубляж)

PHP and Docker - PHP Dockerfile

Docker Course: Creating your first Dockerfile.

Docker Tutorials 07 - dockerfile apache2

Декстер: Первородный грех (2024) — 1 сезон 7 серия | Dexter: Original Sin

Coffee Room #4 by Dr_Zilter Idris Elba, Chocolate Puma, OFFAIAH, Example, Claptone, Diver City

Декстер: Первородный грех (2024) — 1 сезон 5 серия | Dexter: Original Sin

Пойман с поличным (2025) / Caught Stealing

Порочный круг (2025) | Порочный | Зловещий | Vicious

3. Building a Dockerfile

005 Build Docker Image from Dockerfile (28 - Dockering Spring Boot Application Step by Step)

Дожить до рассвета (фильм, 2025) / Until Dawn

Learn Together Nix Programming | Part 8 - Derivations and Worked Examples