Найдено результатов: 98
Response Ruler
![🔴Трюки#10 [Russian Rider Online]🔴](https://pic.rtbcdn.ru/video/4c/c3/4cc35569d63c6244a49f2ccc39ab7c03.jpg?width=640)
🔴Трюки#10 [Russian Rider Online]🔴

Акуленок туруруру, но разные скорости

песня для детей акулёнок туруру приятново просмотра

Акулёнок Туруру

Служить России (с текстом)

Kate Bush - Running Up That Hill - (Очень странные дела)

Naumen Project Ruler. Летний релиз

как сделать jkcommando в скине 🖤 BLIGHT 💚

Как сделать большого дрель мена титана из фольги@DOM_Studio @Littlestoneheadheadhead@DaFuqBoom

Как сделать преврашения в мобов в майнкрафт бедрок без модов и плагинов

Как мы играли в СS1.6 сервер с зомби модом

бесплатный скин доктора ливси в роблокс

КУКИНГ СТРИМ закончился ПРОВАЛОМ | дипинс #дипинс #дипс
![Обзор модов #5 [Обсидиановый светокамень]](https://pic.rtbcdn.ru/video/88/69/8869176108a42fa611979b1ce7470c6d.jpg?width=640)
Обзор модов #5 [Обсидиановый светокамень]

Как сделать шапку на канал: #2

text animation tutorial || alight motion || анимация на текст в алайт моушен

Как сделать оружие из лего #1

Комната Леона из пластилина бравл старс 🦎🦎🦎

Как сделать вертолёт из лего

Как сделать интро для стандофф 2? | ГАЙД на интро в кап кате

Копатель онлайн # Голодные игры # 14

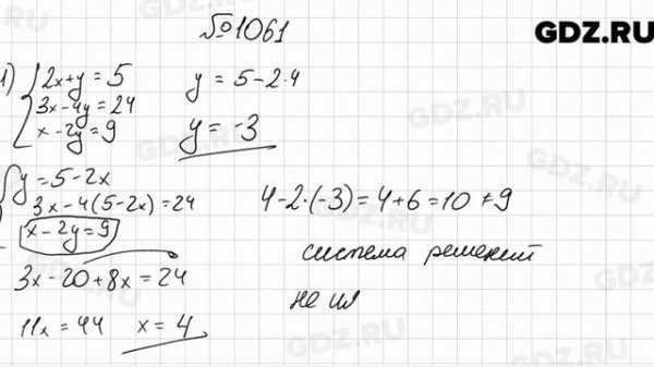
№ 1061 - Алгебра 7 класс Мерзляк

Все промокоды в Avatar world 1 часть

Подробный гайд как сделать бедроковую коробку