Найдено результатов: 99
Pythonvision

How to do a Back Handspring
![Corundum: An Open-Source 100-Gbps NIC [FCCM 2020]](https://pic.rtbcdn.ru/video/dd/6f/dd6f481838f79502f4a0db6cc61768c1.jpg?width=640)
Corundum: An Open-Source 100-Gbps NIC [FCCM 2020]

Home Assistant How to - flash latest LilyGO HiGrow firmware

Голосовой ассистент на Python _ Голосовое управление компьютером _ Распознавание речи Python.mp4

База по Python. Урок 2 : Операторы присваивания и переменная в Python

Автоматизация создания текстовой документации MS Word

Интерфейсы в Python

Классы в Python

LEGB-rule. Как Python ищет имена переменных

C++ LZ77 compression algorithm (2 Solutions!!)

Payitaht Abdülhamid 101. Bölüm

GRCon18 - ARM PlutoSDR With Custom Applications

Windows : Permission denied: Untitled.ipynb Windows 10 AWS Workspaces

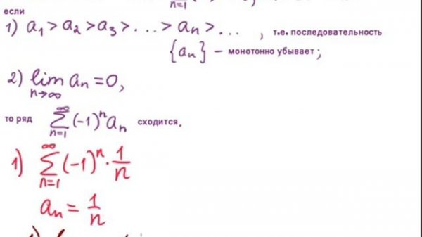
Абсолютная и условная сходимость

Урок #2 Python / Распознавание глаз OpenCV

Таен план - БГ аудио (BG audio) HD

Машинное обучение в геологии

Уроки Python / Распознавание речи

Python знакомство.

How To Execute LUA Scripts In Golang?!

Прошивка Sonoff - HomeKit

Ардуино и расширитель портов PCF8574

ep4 Web App สวยๆ ด้วย Materialize ฟอร์มบันทึกผู้ประสงค์ฉีดวัคซีน Covid 19

Создание логгера | Live coding