Найдено результатов: 100
Pythondiscovery

Создание генератора паролей в Python.

Python Day Special: типизация в Python или mypy, Any и дженерики под микроскопом

ТОП 10 Ошибок в ЕГЭ | Школа Пифагора

Kubernetes Tutorials for Beginner | Kubernetes advantage | Part 2

Pwn 18. Базовые атаки на аллокатор кучи

Как установить Виртуальное окружение и зачем оно нужно,

Занятие № 2 Полносвязные сети, обучающая и тестовая выборки НС PRO июль 2020

Требования к EEBD на судах Что должен знать третий помощник

Автоматическое наполнение группы контентом. Автопостинг Вконтакте

Rust: Играю как БОГ с ПИТОНА

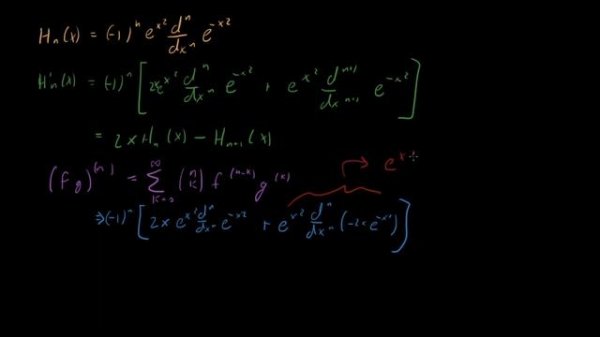
Hermite Polynomial Recurrence Relations

РОССИЙСКИЙ ШКОЛЬНИК ВЗЛОМАЛ ПЕНТАГОН | Типичные школьные дни #8 | #school #школа

Import time(?How Time Sleep in python?)#22

How to Create a Min/Max Heap in 4 Minutes (EASY)

Конструирование машины Тьюринга

Retargeting/Ramap using Auto-Rig Pro (COMPLETE guide) - Blender 2.8, 2.9, 3.0

How To: Enable Local Access on your My Cloud Home | Western Digital Support

D-low \ Grand Beatbox Battle 2018 WILDCARD

Disturbing Cruelty: Kittens used as Bait for Sharks

Списки - вариант массивов в Python - первое знакомство

Python знакомство.

#美股 帶盤 NVDA TSLA 盤前,盼 FED 加息週期結束,富途開戶 恆指 特斯拉 期權 期貨

Модель самолета Pitts Python 980 для Владимира / ALNADO

Python Основы