Найдено результатов: 100
Olga_Math

Aria math - @C418 1 hour

МАТЫ !!!

Matrang - Матранг

Я посмотрел ВСЕ ролики с ГАНВЕСТОМ и теперь я ПЭПЭ ВТФАА

21

Маты

АРХИВ.ПЬЯНСТВО БАБЫ ОЛЫ! ОЛЬГА УРАЛОЧКА LIVE. ОБЗОР.

тест

Оладьи на дрожжах

МУЖ БОРЕЦА СО СНЕГОМ, ГОТОВЛЮ РЫБУ, КРУЧУ БЛИНЫ..

Матранг matrang

Matrang - Молодость

СРОЧНО! УСТРОИЛИ ПРОВОКАЦИЮ! ОЛЬГА УРАЛОЧКА LIVE. ОБЗОР.

100 САМЫХ СМЕШНЫХ ВИДЕО (9 Выпуск)

ОБЗОР БАРАХЛА ИЗ ТЕЛЕМАГАЗИНОВ

Аналитический обзор на канал Ольга Уралочка live от 18 февраля 2026 года. Примерка.

ТЕЛЕЦ - ГОРОСКОП НА МАРТ 2026🔴ЛУННОЕ ЗАТМЕНИЕ и Новая Судьба/РЕТРО МЕРКУРИЙ!

ОВЕН - ГОРОСКОП НА МАРТ 2026 года🔴ЛУННОЕ ЗАТМЕНИЕ и Новая Судьба/РЕТРО МЕРКУРИЙ!

Витя Матанга Даже не пытайся полюбить такого, как я

MATRANG - Круг |2019|

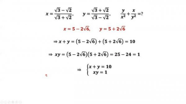
𝒚/𝒙^𝟐 + 𝒙/𝒚^𝟐 = ? | Olympiad Math

ВЕСЕЛЫЕ ВИДОСИКИ! 8 МИНУТ СМЕХА (ИЛИ НЕТ)

Аналитический обзор на канал Ольга Уралочка live от 17 февраля 2026 года. Разговор со зрителями.

Решили обновить коридор в нашей квартире. Каждый занимается своими делами.