Найдено результатов: 100
Motivational Life Lessons

РОБЛОКС убежище 8166 чуть не обосрался!!!!

Кошка просит кота.

Начинающие пчеловоды ошибки

Ф.Мендельсон Квартет ор.81 3 часть

|Озвучка маньхуа| Пора их юности. Глава 1.

03 Тайпей. Тайвань. осмотр аэропорта.

О ПАО СВЕТОФОР ГРУПП

Xcho, timmate, Пабло - Нарекай | Slowed + Reverb |

REGGAE NEW SOM - MELDEY 15 PRO-PMP 2017

Aug 16 Zoning Meeting Foxfire Village NC

А что нам надо?Да просто свет в оконце...

11 11 2001 Детское

Сатт Саи Говорит том 1/1

New Look VIP Appointment LONDON Vlog + TEEN try on haul!!

ТАК ЗА КЕМ ЖЕ СЛЕДОВАТЬ ? | Урминский Мухаммад

дуэт Э.Градески"Мороженое"

Мужа больше нет \\\ Екатерина Редникова шокировала новостью

Gym Promo video_Gym commercial_Cinematic fitness film_Gym Motivation_Fitness promo video_Sony a7III
![×Время лечит× {минифильм} [говно с текстом 😹👌🏻]](https://pic.rtbcdn.ru/video/ed/6f/ed6f945e43a45557561bec9ea1d258f5.jpg?width=640)
×Время лечит× {минифильм} [говно с текстом 😹👌🏻]

Кто на первом месте мама или жена?

Motivation Video

Basketball from Hood (dabbackwood) | PVP

Самый лучший кетчуп

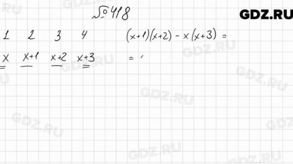
№ 418 - Алгебра 7 класс Мерзляк