Город МОСКОВСКИЙ
Найдено результатов: 98
Тренировки Для Процветания И Гармонии

ОГЭ. Задание 14. Квадратное неравенство.

Специальные упражнения для ледолазов

Жиросжигающая тренировка для девушек с гирей и скакалкой.

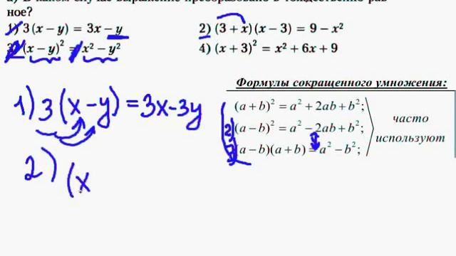
Алгебра - Тождественно равные выражения

Тренировка по верховой езде (Школа верховой езды Династия).

Тренировка через 2 недели после родов

Тонусный стол №2 для мышц живота

А НУ КА ПОХУДЕЙ КА Тренировка для похудения №2 с Михаилом Прыгуновым

Спортивное дыхание

Презентация приложения для домашних тренировок "onlyfits"

Идеальный комплекс упражнений "Красивые руки"!

"Центр изучения Шаолиньского Цигун" Волкова Павла

Тренировочный процесс 🔥

Тренировка с функциональними петлями ТRХ .

Презентация книги Сергея Бадюка «Шанти-практика»

Теория музыки: обращение интервалов

Упражнения с палками

Кроссфит тренировка

Медитация для процветания 3 минуты

№ 448- Алгебра 7 класс Макарычев

Объемная жимовая тренировка: обзор и анализ

САМАЯ НАГЛЯДНАЯ ТРЕНИРОВКА ШИРОЧАЙШИХ МЫШЦ СПИНЫ | 1 Часть

Тренировка 6. Марафон ,,Сжечь жир за 21 день,,

Выпады ног на тренажёре Смита.