Найдено результатов: 100
Php Find Substring

longest substring without repeating characters Explained - C# and Java

DevOps & SysAdmins: Login error in phpMyAdmin, problem setting auth_type in config.inc.php

PHP MYSQLi TUTORIAL 24 login form using sessions in PHP

PHP: Find Users Country

POLI - Сердечки (Премьера клипа)

How to insert records in database using php mysql | By using phpmyadmin

PHP поиск на сайте ПО НЕСКОЛЬКИМ СЛОВАМ How to search using PHP and MySQL on web site

HOW TO CREATE REGISTRATION AND LOGIN FORM IN PHP USING PHPMYADMIN AND XAMPP SERVER (PART - 1)

Оркестр CAGMO - Симфония Sting при свечах - Sting - Shape of My Heart (Orchestral version)

Array : How to replace substrings with strings from array using preg_replace? (PHP)

PHP Tutorial - Setting up a foreign key constraint in phpMyAdmin

PHP Mysql Login using Cookie and Session

How to add a foreign key in mysql using phpmyadmin

Insert Data Using Stored Procedure In php and Mysql Part 1

Сабрина (1995)

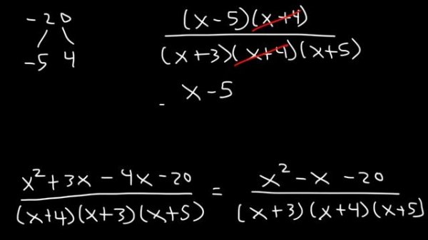
Adding and Subtracting Rational Expressions With Unlike Denominators

OPPO FIND X8 ULTRA

Хеллсинг OVA / Hellsing Ultimate BGM OST (Compilation)
50cent ft. Justin Timberlake and Timbaland - ayo technology

How to Find Any .php or .html File Path || Find CSS || PHP || WordPress || Blogger || Google Inspec

PHP - How to Insert Multiple Form Data using JQuery Ajax

ЭВОЛЮЦИЯ СПРИНГТРАПА. ВСЕ ИЗМЕНЕНИЯ СПРИНГТРАПА С 3 ПО 9 ЧАСТЬ ФНАФ ( Five Nights At Freddy's )

How To Hack Instagram Account Using Phishing Attack | HTML CSS PHP & MYSQL (FOR EDUCATIONAL PURPOSE

СПРУНКИ Sprunki: МИКРОВОЛНЫ ПРЕОБРАЖЕНИЯ!