Город МОСКОВСКИЙ
Найдено результатов: 100
Anticipated Problems

Antique _ Why

"Rescue mission or relationship problems? Tayyaba's candidate is facing difficult choices"

SEREBRO - What's your problem (Live 2007)

Anticipation

Antikiller 2002 O DVDRip

Антиреспект - Там

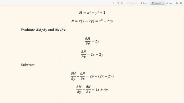
Mixed Problems in Differential Equations

why riot's new anti-cheat is a HUGE problem.

anti-Semitism is there a problem?

Antropologia sintetica 2 - ( Slowed )

Anti-Cheat Expert helps the game companies protect the games from cheating problems

EXTRA SLIDE 🆚 SIRENHEAD 🆚 SKIBIDI TOILET 🆚 ODDBODS 🆚 BUS EATER 🆚 THOMAS EXE 🆚 Tiles Hop EDM Rush 🔥

Гимн России

Not my problem. Студвесна ГУАП 2025

Quadratic Equation( Word Problems) part 2

Dj Magic Ft. Frost Project - Rhythm Is The Answer (New Party Hit 2026)

Гимн СССР

ГСВГ

Тирзепатид

Никогда!!! ВЫ СЛЫШИТЕ! НИКОГДА! так не ОБМЫВАЙТЕ ТОРМОЗА!- АнтиПыч#7

No problem
#топыкатегорий

#41 Independent Homeschool: Dealing With A Problem Child (or Children With Problems :-)

NUEKI - Tired Of Problems (Slowed)

JamWayne - No Problems
Что ищут еще по теме: