Найдено результатов: 100
Mathcompass

Замена переменных в дифференциальных уравнениях.

Краткий обзор методов интерполяции.

Новое Простоквашино Приключения Матроскина сборник

Кто побеждает в войне? Модель Ланкастера - математическая модель сражения двух армий.

Как пользоваться Maps.Me или Organic Maps

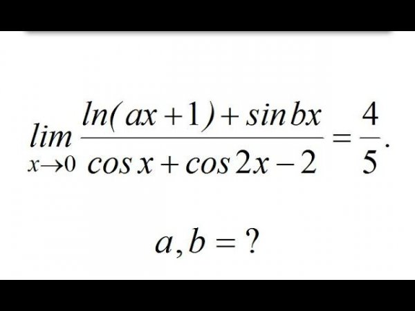
Олимпиадная задача по теме пределы

Олимпиадная задача про колокола.

Два олимпиадных предела последовательности.

матвейшоп5

Олимпиадная задача на тему "Числа"

Полярный Урал в конце мая.

Определенные и неопределенные интегралы (выпуск 1)

Студенческая олимпиадная задача на взаимное расположение прямых в четырехмерном пространстве.

Олимпиадная задача на интегрирование неявно заданной монотонной функции.

Олимпиадная задача на вычисление предела с степенно-показательной функцией.

простоквашино мат

Аналитическая геометрия (выпуск 1)

Почему рулетка чудовищно несправедлива для игрока?

Олимпиадная задача с тригонометрическим рядом.

Задача № 15 ЕГЭ по математике. Вклады, кредиты. Часть 4.

Задача № 15 ЕГЭ по математике. Вклады, кредиты. Часть 2.

Задача № 15 ЕГЭ по математике. Вклады, кредиты.Часть 1.

Вычисление площади фигуры, заданной неравенством с модулями.

САМЫЙ ЖЕСТКИЙ ПРАНК // Mash UP // EVA mash