Город МОСКОВСКИЙ
Найдено результатов: 100
Functional Fiascos

Fully Functional Complex Graphing Calculator in Desmos

HaProxy external-check functionality.

30.11.2025 | ОБЗОР МАТЧА | Ноттингем Форест - Брайтон | Highlights | Nottingham Forest - Brighton

И. Кузнецов, Nocturne-Fantasie Fis (studio)

fiasco

10 Min. Functional Core Workout _ NO REPEATS _ No Equipment _ Intermediate

Как пройти Fischgiving 2025 в роблокс Фиш. Roblox Fisch

Best Fails of The Week: Funniest Fails Compilation: Funny Video | FailArmy

Fanfiction

Порядок выставления фасадов в стилях "Флавио-К" и "Фврора-К" производства "Спектр".

Best Fails of The Week: Funniest Fails Compilation: Funny Video |

03 Aesthetics with Function

Functional Groups part 4

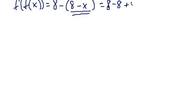
Composite Functions

Best Fails of the Week Funniest Fail Videos

FUNNIEST FAILS of 2023

propagation ficus plant.#$ how to grow ficus cutting

Element Fission Gameplay фрагмент игры

Functions - Function Composition Question #4

Best Fails of The Week: Funniest Fails Compilation: Funny Video | FailArmy

Best Fails of the Week Funniest Fail Videos (2)

Fisch🦈-Фиш🦈

Роберт Фишер оригинально начал партию и феноменально выиграл

Flowgorithm - Functions Part 1