Найдено результатов: 100
Cost-Effective Tips

I killed X Заставка Смешарики с эффектоми screensaver with effects

Preview 2 KOLLEYSTUFF V179 Effects Sponsored by Klasky Csupo 2001 Effects

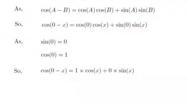
cos(-x) | cos(-A) | cos(-theta) | Identity for cos(-x) | value of cos(-A)

Jose Luiz Villate: R&D for cost-effective offshore renewable technologies.

Секси

Андреева М — Кристиан Ж Теннис. WTA 1000. Дубай, ОАЭ. Прямая трансляция.

It Cost EVERYTHING!

Public flashing transparent tights and panties haul!

Заставка Смешарики с эффектоми screensaver with effects √3 and my effects

Planet Capture gameplay / tips / cost

✅ ТЕЙПИРОВАНИЕ ПРИ БОЛИ В КОЛЕНЕ | Валентин Гайт | Учебный центр BBALANCE

Планы, Которые Пошли Наперекосяк. Часть 5

Cossacks

COSMOTE Hints & Tips - Έλεγχος Παροχών και Υπολοίπου μέσω My COSMOTE

Stoto - Still Can't Sleep | Original Mix |

Grizzy and the Lemmings End Credits Effects (Buzz, look, an alien! Csupo Effects)

Mass Effect Legendary Edition #14

Opportunity cost explained

Поразительные Факты о Космосе, Которые Вы Не Знали
![[4K] TRANSPARENT LINGERIE | TRY ON - HAUL | EMA NOVAK](https://pic.rtbcdn.ru/video/2025-04-18/7e/63/7e630807a17dd216ce765aac029acd9a.jpg?width=640)
[4K] TRANSPARENT LINGERIE | TRY ON - HAUL | EMA NOVAK

COSTA PACIFICA cruise.

Построить график (cos(t) ; cos(2t))

Cost Of Living In Connecticut - Cost Of Living In Southington, CT

Mass Effect Legendary Edition #16