Город МОСКОВСКИЙ
Найдено результатов: 100
Construction Et Intérieur

Типыч смотрит "Колбасик флексит 10 часов" - Реакция

вертикальный конвейер

Transactional Models and their Storage Requirements

интро 💕

OPEN ROOM 009 x UTAH M. PAUL (deep house, soft techno on vinyl records)

Intérieur Fiat Tipo 2020

HYUNDAI ELANTRA SPORT 2016, VIDÉO DE L'INTÉRIEUR ET DE L'EXTÉRIEUR

Горох кормовой на дрожжах кодзи ангел, сбраживание и первый перегон.

Econometrics // Lecture 1: Introduction

Toyota Rav 4 2011 Video de l'intérieur et extérieur - LaZoneAuto.com

Разница: Assure / ensure / insure / sure / reassure / reinsure / make sure

Kia Sorento 2014 vidéo de l’intérieur et de l’extérieur - Granby GM

Sequencer Introduction

V $ X V PRiNCE, Кисло-Сладкий, Bonah - Дом 50

EUR OpeativeTactical Model

Land Rover Range Rover Sport II Рестайлинг, 2018 Мечты должны сбываться.

Делаем ЕН антенну на СИ-БИ диапазон.

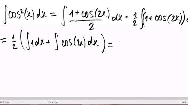
Integral cos^2(x)

C++ in Constrained Environments - Bjarne Stroustrup - CppCon 2022

Lesson 0 - Intro

Cute cat ai trending images part2 #cat

Tremblements de terre, politique intérieure et prix de musique.

12. Convert string to integer - int.TryParse() - Game Development Course Using Unity and c#

Мост мечты. В.Лебедев 1979 (vinyl record)