Город МОСКОВСКИЙ
Найдено результатов: 100
Формула Ремонта

Идеальный ремонт для сдачи в аренду | Стоимость ремонта??? | Формула Ремонта

Формула ремонта

Красивый и стильный интерьер | Современная мебель | Формула Ремонта

Ремонт Комфорт | ЖК Столичный | Формула Ремонта

Для начинающих. Простой регулятор громкости , баланса и тембра.

Спринт | Гран-при Сан-Паулу | Сезон 2025 | С комментариями Андрюса Люткявичюса | РейсКаст

Формула 1 | Formula 1 (2025) Дубляж

Ремонт зеркала видеорегистратора своими руками

Крутой ремонт!!! | ЖК Гагаринский| Формула Ремонта

Современный ремонт "ТРЁШКИ" который не надоест | Формула Ремонта | ТРЕНДЫ РЕМОНТА 2023

🔥 ТОП Ремонт для сдачи в аренду | Формула Ремонта

Формула 1 — Русский трейлер (фильм 2025) / F1

Расходится молния, как правильно отремонтировать молнию и поджать бегунок замок молнии Ремонт молнии

Современный ремонт | ЖК Жигулина Роща | Формула Ремонта

⚡️ Формула смысла | СОЛОВЬЁВLIVE | 7 ноября 2025 года

F1 / Формула 1 (фильм, 2025)

Формулы цветков.

Формула Ремонта | Ремонт под ключ в Москве и МО

Формула 1 (фильм, 2025, озвучка RHS) | F1

Формула любви (1984)

Ремонт Рено Т

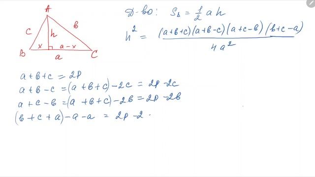
Формула Герона доказательство

Зеркало регистратор перестало работать через 15 дней

Формула воды 6+