Город МОСКОВСКИЙ
01:43:34
Срочно выйду замуж | 2015
Описание
Женя — редактор-трудоголик, Стас — светский фотограф. Она амбициозна, а у него по жизни — ни задачи, ни проблемы. Женя хочет и может стать главным редактором журнала, но для этого у нее срочно должен появиться супруг! Условие акционеров издания — семейная аудитория нуждается в семейном руководителе. И на решение этой задачи у девушки есть всего неделя. Стас берется помочь девушке, в картотеке у модного фотографа есть немало холостяков, которые вполне могли бы подойти на роль мужа. Но неожиданно Женя понимает, что совсем не расчетлива, а Стас с удивлением обнаруживает, что влюблен.
Рекомендуемые видео

КРАСОТКИ С ЛЕГКОСТЬЮ ПОКОРЯЮТ МУЖСКИЕ СЕРДЦА! ОБАЛДЕННЫЙ ФИЛЬМ! Нереальная любовь!
11 139 просмотров

«Идеальная пара» Русские фильмы
39 820 просмотров

Как выйти замуж за 3 дня 2009
118 753 просмотров

Жених напрокат (2005)
293 043 просмотров

КАЛЬЯ: ИЩЕМ ЛЮБИМОЕ БЛЮДО ПУШКИНА в Ярославле | Тайны забытых рецептов
32 757 просмотров

РЖАЧНАЯ КОМЕДИЯ С ПАВЛОМ ПРИЛУЧНЫМ Новинка 2017 ГОДА 1
50 928 просмотров

КОМЕДИЯ 'МаЖОРКА'
55 780 просмотров

СЕЛЬСКАЯ ДЕВЧОНКА УЕХАЛА ПОКОРЯТЬ МОСКВУ! - Кружева / Русские мелодрамы новинки
103 922 просмотров

С вечера до полудня 2 серия (драма, реж. Константин Худяков, 1981 г.)
4 125 просмотров

Жизненный фильм! МЕЛОДРАМА -ЛЮБОВНИЦА- Русские мелодрамы 2017 новинки, Русские фильмы 2017
142 119 просмотров
![СВЕЖИЙ ФИЛЬМ 2020[[ШКОЛЬНАЯ ЛЮБОВЬ]]Русские мелодрамы /НОВИНКИ\ -HD 1080Р-](/images/video/2024-11-11/08/a5/08a54461a5ede80902998691a0c6c11a.jpg?width=640)
СВЕЖИЙ ФИЛЬМ 2020[[ШКОЛЬНАЯ ЛЮБОВЬ]]Русские мелодрамы /НОВИНКИ\ -HD 1080Р-
26 731 просмотров

Фильм на вечер, Постучись в мою тверь
40 304 просмотров

🇩🇪40 " Ministries for all Nations Worship " DU BIST DER WAR, DER IST UND DER KOMMT " G12 Band
855 просмотров

Как выйти замуж за миллиардера (фильм, 2010)
183 792 просмотров

Анжелика и Король
6 417 просмотров

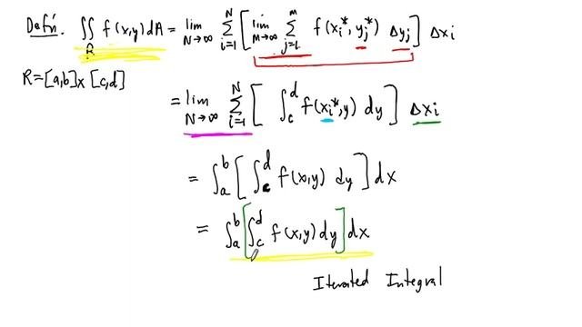
Iterated Integrals and Fubini's Theorem
124 просмотров

Незваные гости / Wedding Crashers (2005)
7 640 просмотров

Беккет (фильм, 2021)
2 148 просмотров

Игра джентльменов | The Long Game (2023)
457 просмотров
