Город МОСКОВСКИЙ
00:01:25
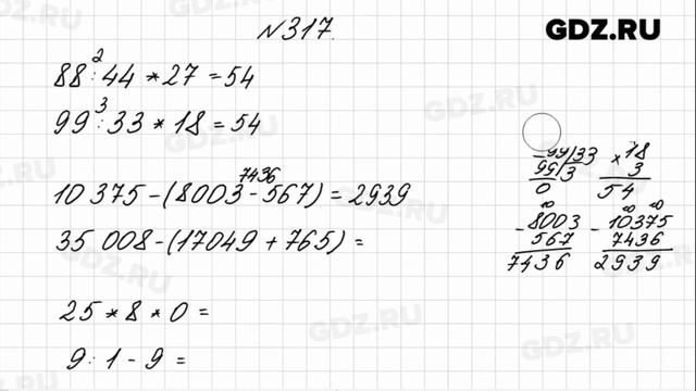
Страница 67 Задание 317 (1 столбик) – Математика 4 класс Моро – Учебник Часть 1
Описание
Наша группа ВК: ГДЗ Математика Алгебра - https://vk.com/4da5ru
Канал на YouTube: ГДЗ Математика 4 класс - https://www.youtube.com/channel/UC2ZYnds5SfLvwhmzp_M2COQ
Страница 67 Задание 317 (1 столбик) – Математика 4 класс Моро – Учебник Часть 1
Сложение и вычитание. Страницы 60 - 75 Математика 4 класс Моро – Учебник Часть 1 - https://www.youtube.com/playlist?list=PL3JY4OCHcsPGhipm02Wx1JBg3k5k1MdVL
Приветствую всех, кто смотрит видео по математике ГДЗ Математика 4 класс Моро М.И. и др. - Учебник Часть 1
Рассказывайте о нас друзьям, делитесь нашими видео в социальных сетях.
Ставьте лайки и подписывайтесь.
Рекомендуемые видео

Страница 67 Задание 317 (2 столбик) – Математика 4 класс Моро – Учебник Часть 1
583 просмотров

Страница 73 Задание 24 – Математика 4 класс Моро – Учебник Часть 1
334 просмотров

Страница 68 Задание 320 – Математика 4 класс (Моро) Часть 1
0 просмотров

купила вещи из пинтерест: ОЖИДАНИЕ/РЕАЛЬНОСТЬ;((
3 024 829 просмотров

Мама, это не я | Алана Чочиева
13 352 просмотров

ГДЗ 4 класс Страница.67 №317 Математика Учебник 1 часть (Моро
1 383 просмотров

№ 317 - Математика 4 класс 1 часть Моро
318 просмотров

Звёзды в джунглях, 2 сезон, 10 выпуск
2 106 722 просмотров

Экстрасенсы. Битва сильнейших, 2 сезон, 29 выпуск
3 714 942 просмотров

ТИТАНЫ, 3 сезон, 11 выпуск
1 039 224 просмотров

«Авангард». Бесстрашие — дело семейное
0 просмотров

МАМА В 16 | 4 СЕЗОН, 6 ВЫПУСК | ВИКТОРИЯ, ЛЮБЕРЦЫ
0 просмотров

«Нефтехимик». Оставаться в стае онлайн
12 159 просмотров

«Динамо», Москва. Спектакль без фальши
11 812 просмотров

Выживалити. Змееловы, 1 сезон, 7 выпуск
0 просмотров

СКА. Борьба в фан-секторе
11 168 просмотров

Мультфильм Зверополис 2 / Zootopia 2 | Экранка
631 899 просмотров

«Спартак». Красно-белые голоса
8 810 просмотров

Гарри Поттер и философский камень (фильм, 2001, 1 часть)
11 869 245 просмотров

Хищник: Планета смерти (2025) / Predator: Badlands
2 264 291 просмотров
